
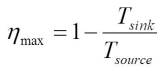
Carnot’s equation for ideal efficiency of a cyclic device converting heat to work and operating between two temperatures specified on the Kelvin scale
In my last post [National efficiency on 29th May, 2013] I calculated the efficiency of the nationwide process of electricity generation in the UK [35.8%] and made no comment on the relatively low value. It will be similarly in all industrialised countries as a consequence of the second law of thermodynamics and the requirement for all real processes to increase entropy. A French engineer / scientist, Sadi Carnot [1796-1832] demonstrated from the second law, that the maximum efficiency achievable in ideal conditions by a process operating in a cycle to convert heat into work is a ratio of the temperatures of the heat source and cold sink to which excess heat is dumped. In a power station the heat source might be a fossil-fuelled furnace, a nuclear reactor or a solar concentrator. The cold sink is usually the environment, perhaps in the form of river or sea water. So both source and sink temperatures are limited. The sink by the local climate and the source by the temperatures that modern materials can withstand.
The very best efficiency based on Carnot’s expression for a maximum material temperature of 350 degrees Centigrade [=623 Kelvin] and environment temperature of 5 degrees Centigrade [278 Kelvin] is 55%. Of course a real power station will never operate at this level because ideal conditions are not achievable – perfection is impossible.
The ideal efficiency improves as the operating temperatures of the heat source and sink are moved further apart and this quest to raise this temperature difference drives a substantial proportion of materials research. However, even operating with a heat source at 800 degrees Centigrade, using expensive, high temperature alloys, such as Hastelloy N [a nickel-chromium alloy], on a winter day in the Canadian capital, Ottawa where the average January daytime temperature is -7 degrees Centigrade, the Carnot efficiency of a power station would be only 75% [=1-(266/1073)].
Pingback: Lost at sea | Realize Engineering
Pingback: Cosmic heat death | Realize Engineering
Pingback: Certainty is unattainable and near-certainty unaffordable | Realize Engineering